←
返回首页
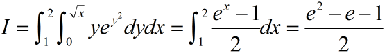
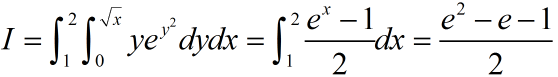
[简答题]
正确答案:
题目解析
最新题目
[多选题]
在下列工程中,需要编制分部(分项)工程施...
[单选题]
Lily and Lucy are fi...
[单选题]
家长教导幼儿“不许打人、打人不对”却往往...
[简答题]
简述出租人的义务。
[填空题]
something ( ) so...
[多选题]
早起国家出路的探索包括()。
[单选题]
牙体预备中,保护牙髓的措施中不包括( )...
[单选题]
肺结核患者,咯血痰2天,突然大咯血,从鼻...
[单选题]
整个脊柱中与其他椎骨差别最大的是
[单选题]
教学评价是教与学活动中一个重要组成部分。...
扫描二维码
免费搜题、免费刷题、免费查看解析
粤ICP备2024339408号-1