←
返回首页
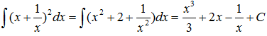
[单选题]
A
B
C
D
正确答案:C
题目解析
最新题目
[单选题]
下列属于经济法主体的对策行为的是( )
[单选题]
在(),研究评价组织所面临的外部条件及其...
[简答题]
Answer the followin...
[简答题]
历史决定论
[简答题]
消费支出
[单选题]
有媒体吐槽“存款会让你越来越穷”:199...
[单选题]
在抽取每个样本单位时,必须遵循
[单选题]
[单选题]
下列属于德尔菲法的缺点的是()。
[单选题]
市民杨某向建设部门提出一项许可申请,根据...
扫描二维码
免费搜题、免费刷题、免费查看解析
粤ICP备2024339408号-1