←
返回首页
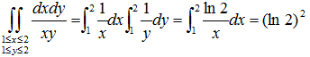
[单选题]
A
(ln2)²
B
2ln2
C
1/2
D
1/4
正确答案:A
题目解析
最新题目
[单选题]
h1>1834年,巴贝奇开始了“分析机”...
[单选题]
资产组合平衡理论强调投资和投机的影响,并...
[单选题]
下列不属于保险诈骗罪的主体的是( &nb...
[单选题]
爱心素养教育技能大赛依托的财贸职业技能是...
[单选题]
设立股份有限公司时,发起人符合法定人数,...
[单选题]
/8088CPU存放当前指令的存储单元的...
[简答题]
访谈法
[单选题]
国际劳动立法最主要的来源是( )。
[单选题]
资本的具体表现形式是()
[单选题]
该病例首选的治疗方案是( )。
扫描二维码
免费搜题、免费刷题、免费查看解析
粤ICP备2024339408号-1