←
返回首页
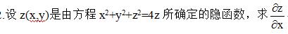
[简答题]
正确答案:
题目解析
考察二元隐函数的求导
最新题目
[单选题]
下列关于中外合资经营企业组织机构的表述中...
[多选题]
下列协议中,适用《中华人民共和国合同法》...
[多选题]
机关人事管理状况反映本机关的( ...
[单选题]
小赵的父母贷款买了新房,用现金买了轿车,...
[单选题]
教师在上课之前,对于教材上的一个字、一句...
[单选题]
我国《公司法》规定,以生产经营为主的有限...
[单选题]
在SWOT矩阵中,公司首选的战略方案是
[单选题]
“在一个竟争性增长的世界上,工业化国家几...
[单选题]
家庭联产承包责任制和统分结合的双层经营体...
[单选题]
《早雁》这首诗的作者是()
扫描二维码
免费搜题、免费刷题、免费查看解析
粤ICP备2024339408号-1