←
返回首页
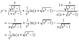
[简答题]
正确答案:
题目解析
最新题目
[单选题]
教育者施加在教育中介的对象是()。
[单选题]
英国正式将保育学校纳入国民教育制度的是(...
[单选题]
日常生活中发生的下列变化,不属于化学变化...
[练习题]
《荀子》:“君子之言,涉然而精,俛然而类...
[单选题]
作为剩余价值的转化形式,利润率是()
[单选题]
《历史文化名城保护规划规范》对在历史城区...
[单选题]
甲公司为国内一家民营企业,乙公司为一家在...
[单选题]
社区照顾是社会工作者动员社区资源,(),...
[单选题]
以培养学生科学的态度和创造精神为主的课外...
[单选题]
肠鸣音亢进,呈金属音者见于()
扫描二维码
免费搜题、免费刷题、免费查看解析
粤ICP备2024339408号-1