←
返回首页
[简答题]
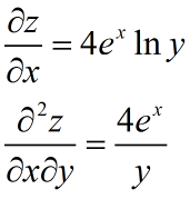
正确答案:
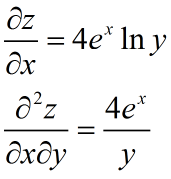
题目解析
最新题目
[单选题]
14.以出让方式取得土地使用权,超过出让...
[单选题]
1、突出人物细节时应该运用哪种构图?
[单选题]
下面哪一个不是微电影产生的背景?
[单选题]
关于民事诉讼法基本原则在民事诉讼中的具体...
[单选题]
在文学四要素中强调作品与作家的关系,认为...
[多选题]
关于存货周转率的表述正确的有( &nbs...
[单选题]
成语暗度陈仓出自( )
[单选题]
【辽宁师范大学】普通话声母中的擦音是( ...
[单选题]
在产销平衡的情况下,一个企业同时生产多种...
[单选题]
述职报告是实际主管部门和有关评审组织对述...
扫描二维码
免费搜题、免费刷题、免费查看解析
粤ICP备2024339408号-1