←
返回首页
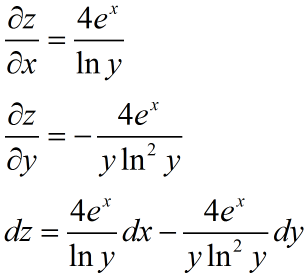
[简答题]
正确答案:
题目解析
最新题目
[单选题]
下列有关PowerPoint2010演示...
[单选题]
学前儿童美感发展过程最初阶段的特征是()
[练习题]
Fill in each of the ...
[单选题]
我国票据法中的本票是
[单选题]
着眼于丰富儿童的生活经验,让儿童通过真实...
[单选题]
下列有关遗赠的说法中,正确的是()
[单选题]
贾某在A公司任3年会计,在B公司任4年出...
[单选题]
《学记》中提出:“道而弗牵,强而弗抑,开...
[单选题]
四个足球队进行单循环比赛,每两队都要赛一...
[单选题]
某企业生产B产品,属于可比产品,上年实际...
扫描二维码
免费搜题、免费刷题、免费查看解析
粤ICP备2024339408号-1