←
返回首页
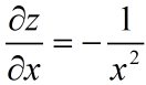
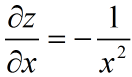
[简答题]
正确答案:
题目解析
最新题目
[判断题]
老年人居室的楼梯光线明亮,两侧安装扶手
[单选题]
()标记包含前面段落格式信息。
[单选题]
小李是一名17岁的中学生,暑假期间,她利...
[单选题]
“院中点衬几块山石,一边种着数本芭蕉;那...
[单选题]
Alice was about to( ...
[单选题]
法国形成宪法委员会违宪审查体制的时间是(...
[判断题]
政府规定某种商品的最高限价会使该商品短缺...
[简答题]
语气
[简答题]
老龄化
[单选题]
该患者长期治疗应首选的药物是( )。
扫描二维码
免费搜题、免费刷题、免费查看解析
粤ICP备2024339408号-1