←
返回首页
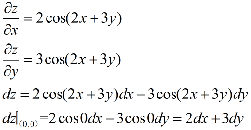
[单选题]
A
dx+dy
B
2dx+2dy
C
3dx+2dy
D
2dx+3dy
正确答案:D
题目解析
最新题目
[单选题]
中国共产党于1978年12月召开的具有历...
[单选题]
以下属于项目风险应对的工作内容的是()①...
[单选题]
风险管理的总目标是()
[单选题]
下列资本工具中,( )属于商业银行的二级...
[单选题]
可通过巨噬细胞吞噬作用将所载药物分布于作...
[单选题]
治疗和预防创伤发生气性坏疽的关键措施是(...
[单选题]
预作用系统雨淋阀组后的管道若需充气,其安...
[单选题]
某机械设备股份有限公司2013年主要财务...
[单选题]
下列关于成人呼吸窘迫综合征的说法中错误的...
[单选题]
在银行的资产负债表中,客户存款属于:
扫描二维码
免费搜题、免费刷题、免费查看解析
粤ICP备2024339408号-1