←
返回首页
[简答题]
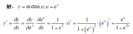
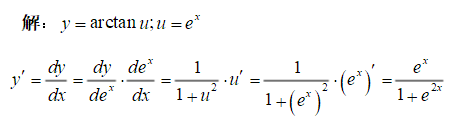
正确答案:
题目解析
最新题目
[单选题]
邓小平说:“什么叫领导?领导就是服务。”...
[单选题]
大多数国家对汇兑差额的确认采用的是( ...
[单选题]
coward这个单词的意思是( )
[简答题]
简述国际商务谈判常见的法律问题。
[单选题]
近代国际法的奠基人是( )
[单选题]
阿米巴肝脓肿( )。
[单选题]
下列选项关于电子合同的说法不正确的是()
[单选题]
当茶黄素和茶红素含量高且比例适当时,茶汤...
[单选题]
踏下制动踏板感到高而硬,踏不下去。汽车起...
[单选题]
黑火药的最大燃烧传播速度约为()m/s左...
扫描二维码
免费搜题、免费刷题、免费查看解析
粤ICP备2024339408号-1