←
返回首页
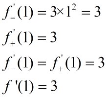
[单选题]
A
1
B
2
C
3
D
不存在
正确答案:C
题目解析
最新题目
[多选题]
推动我国传统企业触网的最主要原因是()。
[单选题]
诗句“君不闻汉家山东二百州,千村万落生荆...
[单选题]
在教育史上第一次提出了“四科”(即算术、...
[多选题]
日本的价格管理体系是在《物价管制令》 的...
[单选题]
注意:此试题考试时为填空题prejudi...
[单选题]
“毛笔”的发明与下列哪位历史人物有关( ...
[单选题]
“辨识、理解和实施满足顾客需要的策略”属...
[单选题]
一个系统由若干个环节串联而成,只要其中一...
[单选题]
以下属于财产保险承保责任的火灾风险是( ...
[单选题]
属于抑制NA及5-HT再摄取的药物是( ...
扫描二维码
免费搜题、免费刷题、免费查看解析
粤ICP备2024339408号-1