←
返回首页
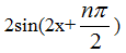
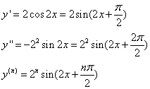
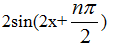
[单选题]
A
B
C
D
正确答案:B
题目解析
最新题目
[多选题]
下面的选项中,属于JavaScript的...
[单选题]
“其在皮者,汗而发之”出自下列何书
[单选题]
设立农村商业银行的最低注册资本数额为人民...
[简答题]
Correct or improve t...
[单选题]
( )是一种权宜从众或假从众,个体在表面...
[单选题]
提供与本企业性能几乎相同但品牌各异的产品...
[简答题]
《每周评论》
[单选题]
( &...
[单选题]
Karen: Do you have t...
[单选题]
我国保险法规定,设立保险公司,其注册资本...
扫描二维码
免费搜题、免费刷题、免费查看解析
粤ICP备2024339408号-1