←
返回首页
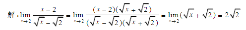
[简答题]
正确答案:
题目解析
最新题目
[多选题]
下列对横向研究的优缺点的描述,正确的有(...
[单选题]
被评估资产为一生产某产品的设备,年产量1...
[单选题]
风险管理最先起源于第一次世界大战后的( ...
[简答题]
“文气”说
[简答题]
简述决定正文的构成。
[简答题]
税收饶让
[单选题]
[单选题]
改革开放以来,我国行政职能的重心是()
[单选题]
-1,0,1,1,4,()。
[单选题]
公文用纸的幅面尺寸一般是()
扫描二维码
免费搜题、免费刷题、免费查看解析
粤ICP备2024339408号-1