←
返回首页
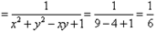
[单选题]已知
,则
()
A
B
C
D
E
正确答案:C
题目解析
故本题选C。
最新题目
[单选题]
在一定温度下,密闭容器中100kPa的N...
[单选题]
在Windows 7中,要选定多个不连续...
[单选题]
公司以( )对公司的债务承担...
[简答题]
简述财务报表的种类。
[简答题]
股权登记日
[单选题]
Passage TwoBefore th...
[单选题]
依法治国,首先要()
[单选题]
客户持未到期票据向商业银行等金融机构兑取...
[单选题]
协助诊断肾挫伤,首要的检查是( )。
[单选题]
一般认为,()会对股票价格产生影响,因为...
扫描二维码
免费搜题、免费刷题、免费查看解析
粤ICP备2024339408号-1